
100 700 €
100 700 €
| Precio de venta | 100 700 € |
| Precio por m2 | 3 729.63 € |
| Superficie | 27 m² |
| La propiedad se puede alquilar |
| Dirección | Montenegro, Tivat |
| Gastos de negocios | |
|---|---|
| No incluido en el precio |
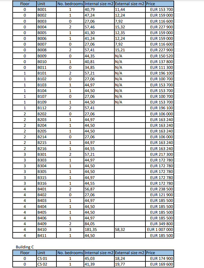
Montenegro. El complejo residencial premium está a solo 2 km del centro de Tivat. No. 13786 Complejo residencial de clase premium a solo 2 km del centro de Tivat 100.700 € 27 millones de precios en la lista de precios en la foto Este es un complejo residencial de clase premium a solo 2 km del centro de Tivat, ofreciendo 133 residencias modernas: desde estudios hasta apartamentos de cinco dormitorios, así como varios locales comerciales. En medio de la vegetación mediterránea a una altitud de 100 m sobre el nivel del mar, proporciona vistas panorámicas del mar, el parque y las montañas en un ambiente tranquilo y seguro. El diseño moderno con ventanas panorámicas llena las habitaciones con luz natural, y las vistas de impresionantes paisajes se abren desde los pisos superiores. El complejo se encuentra a solo 800 m del paseo marítimo y las playas, combinando conveniencia y privacidad. Los residentes disfrutarán de comodidades exclusivas que incluyen una piscina, un parque infantil, acabados premium, estacionamiento subterráneo seguro, salas de almacenamiento privadas y una entrada privada y un camino de entrada. El proyecto es parte de una comunidad residencial organizada y segura con un acceso conveniente a tres aeropuertos internacionales.: Tivat (1.3 km), Podgorica (88 km) y Dubrovnik. Descubra la combinación perfecta de lujo, naturaleza y estilo de vida moderno. Venderemos su apartamento o casa. Hay una opción de apartamentos y casas en varios presupuestos, incluidos los comerciales.